2026年3月14日 ダイヤ改正を実施します。

阿武隈急行では、2026年3月14日にダイヤ改正を実施いたします。

内容については、下記資料をご確認くださいますようお願い致します。

 

 

 

今回改正の注目点        福島県内の駅をご利用の皆様へ              宮城県内の駅・県境を越えてご利用される皆様へ

 

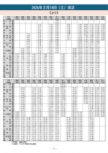
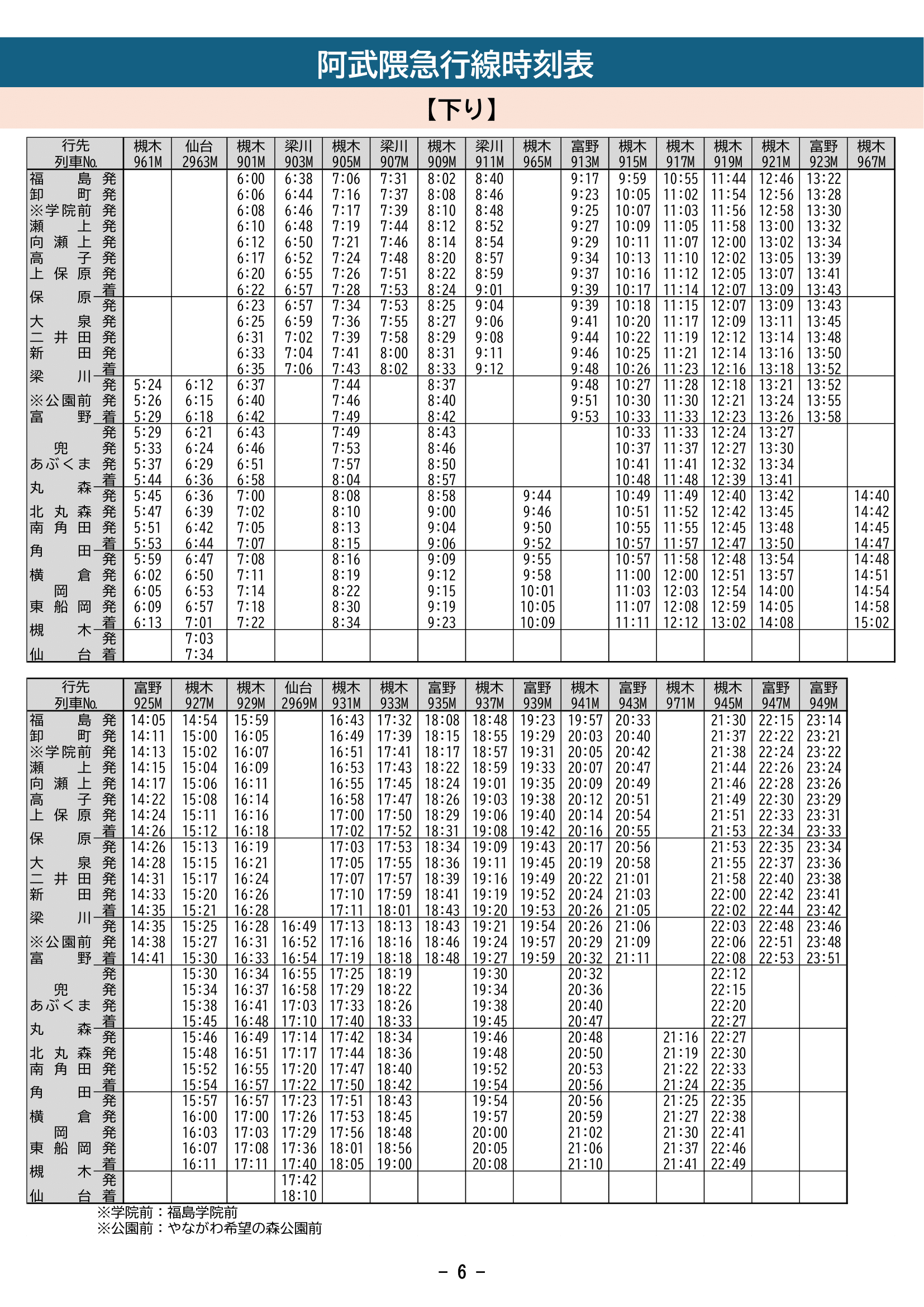
2026年3月14日 改正後 時刻表

下り             上り